• Предмет: Геометрия
  • Автор: shishka1998
  • Вопрос задан 10 лет назад

Решите задачу умоляю

Приложения:

Ответы

Ответ дал: Юля10а
0
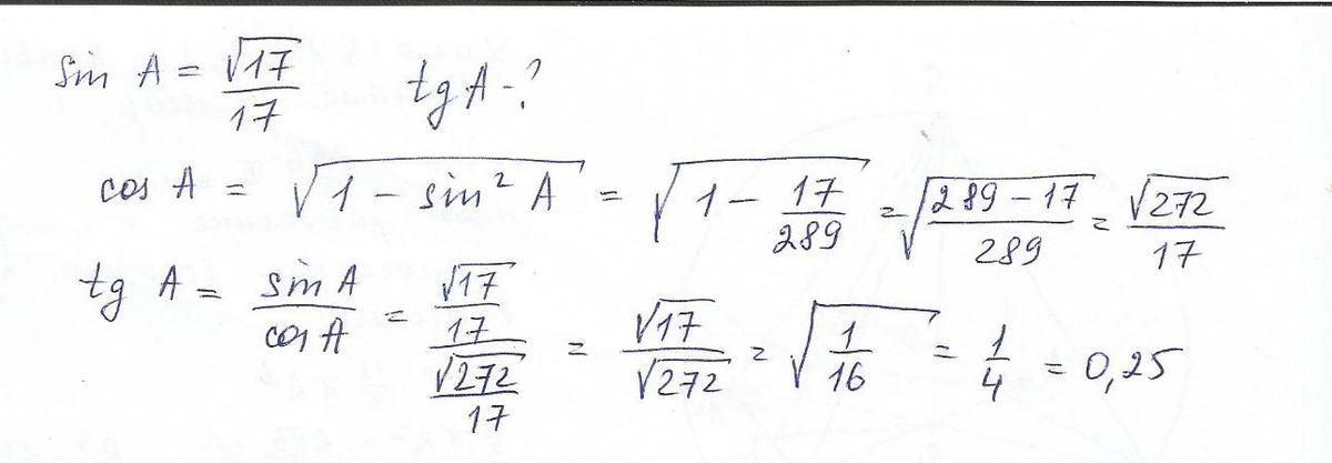
решение внизу на картинке
Приложения:
Вас заинтересует