• Предмет: Алгебра
  • Автор: guliya74
  • Вопрос задан 10 лет назад

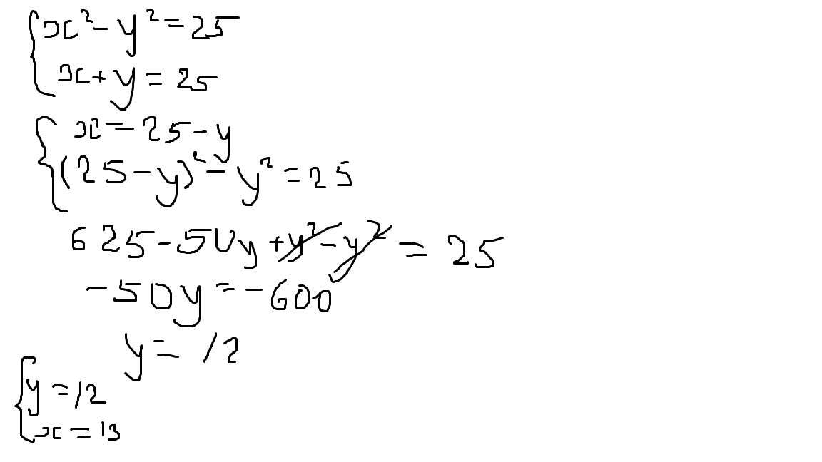
Разность квадратов двух натуральных чисел равна 25,а сумма этих чисел тоже равна 25.Найдите эти числа.

Ответы

Ответ дал: Ekaterina1819
0
Получится вот так :)
Приложения:
Вас заинтересует