• Предмет: Математика
  • Автор: Marat132123124
  • Вопрос задан 10 лет назад

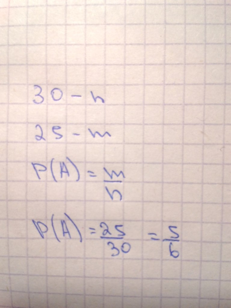
30 билетов ученик выучил 25 билетов какова вероятность того, что он вытянет "счастливый" билет?

Ответы

Ответ дал: VIOLET638
0
Если ничего не перепутала 
Приложения:
Вас заинтересует
10 лет назад