• Предмет: Геометрия
  • Автор: Самородок
  • Вопрос задан 11 лет назад

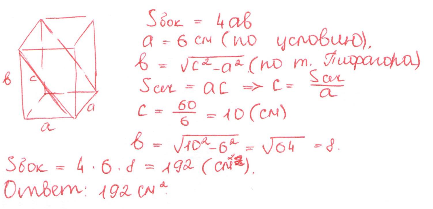
Правильная четырехугольная призма пересечена плоскостью, содержащей две её диагонали. Площадь полученного сечения 60 см², а сторона основания 6 см. Найдите площадь боковой поверхности. Пожалуйста, помогите решить! Заранее спасибо)

Ответы

Ответ дал: YellowFatCat
0

Решение прицеплено во вложении)

Приложения:
Вас заинтересует