• Предмет: Физика
  • Автор: Решалкин
  • Вопрос задан 11 лет назад

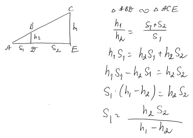
Уличный Фонарь висит на высоте 4м. Какой длины тень отбросит метровая линейка, если её установить вертикально на расстоянии 3м от основания столба, на котором укреплён фонарь?

 

Хотелось бы посмотреть на решение.

Ответы

Ответ дал: rusakovwn
0

результат вычислений прошу вывести в обсуждение задачи для проверки

Приложения:
Вас заинтересует