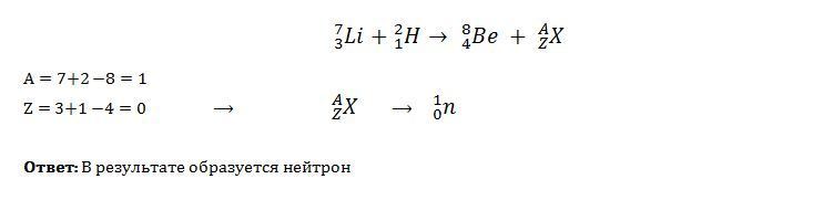
В результате бомбардировки изотопа лития 7 3Li ядрами дейтерия образуется изотоп бериллия 7 3Li+2 1H→8 4Be+...какая при этом испускается частица?
Ответы
Ответ дал:
0
Ответ с решением в приложенном файле:
Приложения:

Вас заинтересует
2 года назад
2 года назад
7 лет назад
10 лет назад
10 лет назад
10 лет назад