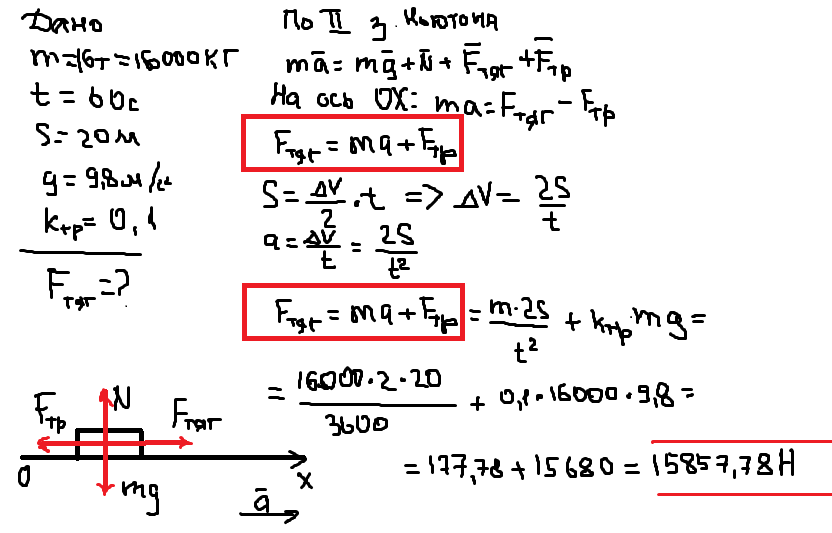
Масса неподвижного вагона m = 16 т . Рассчитайте силу тяги F , которую надо приложить к вагону, чтобы он стал двигаться равноускоренно и за время t = 60 с прошел путь s = 20 м , g = 9,8 м/с 2. На вагон действует сила тренияFтр . Коэффициент трения kтр = 0,1.Результат получите в системе СИ, округлите до двух значащих цифр после запятой. Размерность не указывать!
Сила тяги н
Ответы
Ответ дал:
0
Удачи, во вложениях))
Приложения:

Вас заинтересует
8 лет назад
8 лет назад
10 лет назад
10 лет назад
10 лет назад