• Предмет: Алгебра
  • Автор: Dasha1986
  • Вопрос задан 11 лет назад

решить уравнение 15x^2 -3x-2=0

Ответы

Ответ дал: Svetlana10
0

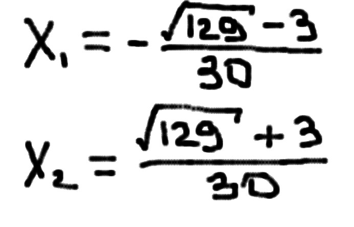
D=129

                                                                              

Приложения:
Ответ дал: Nasьka97
0

Сначала надо найти дискрименант:

                                                    D=3^2+3*15*4=9+120= 129

 

 

теперь найдём х:                             3+корень из 129

                                                   х1= ---------------------

                                                                30

                                                     3-корень из 129

                                                 х2=------------------

                                                              30

--------- деление! 129 из под корня не выходит поэтому таки останится под корнем))))

Приложения:
Вас заинтересует