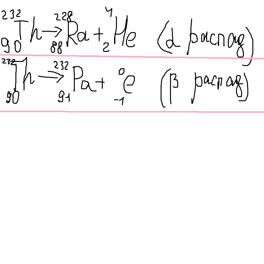
В какой элемент превращается изотоп тория A=232,N=90 после альфараспада, двух бета распадов и ещё двух альфа распадов?
Ответы
Ответ дал:
0
или то или другое.
( распа2) я не уверена что вообще такое возможно ...
Приложения:


Вас заинтересует
2 года назад
2 года назад
8 лет назад
10 лет назад
10 лет назад