• Предмет: Алгебра
  • Автор: loliza
  • Вопрос задан 10 лет назад

решите, пожалуйста :( даю много баллов

Приложения:

Ответы

Ответ дал: Опыт
0
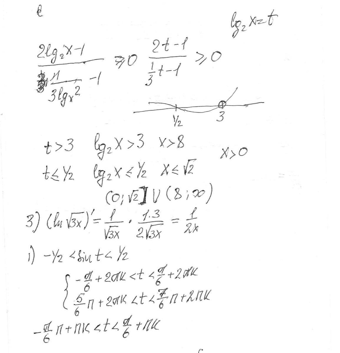
ответ в файле...........................................
Приложения:
Вас заинтересует