• Предмет: Алгебра
  • Автор: LeeN
  • Вопрос задан 11 лет назад

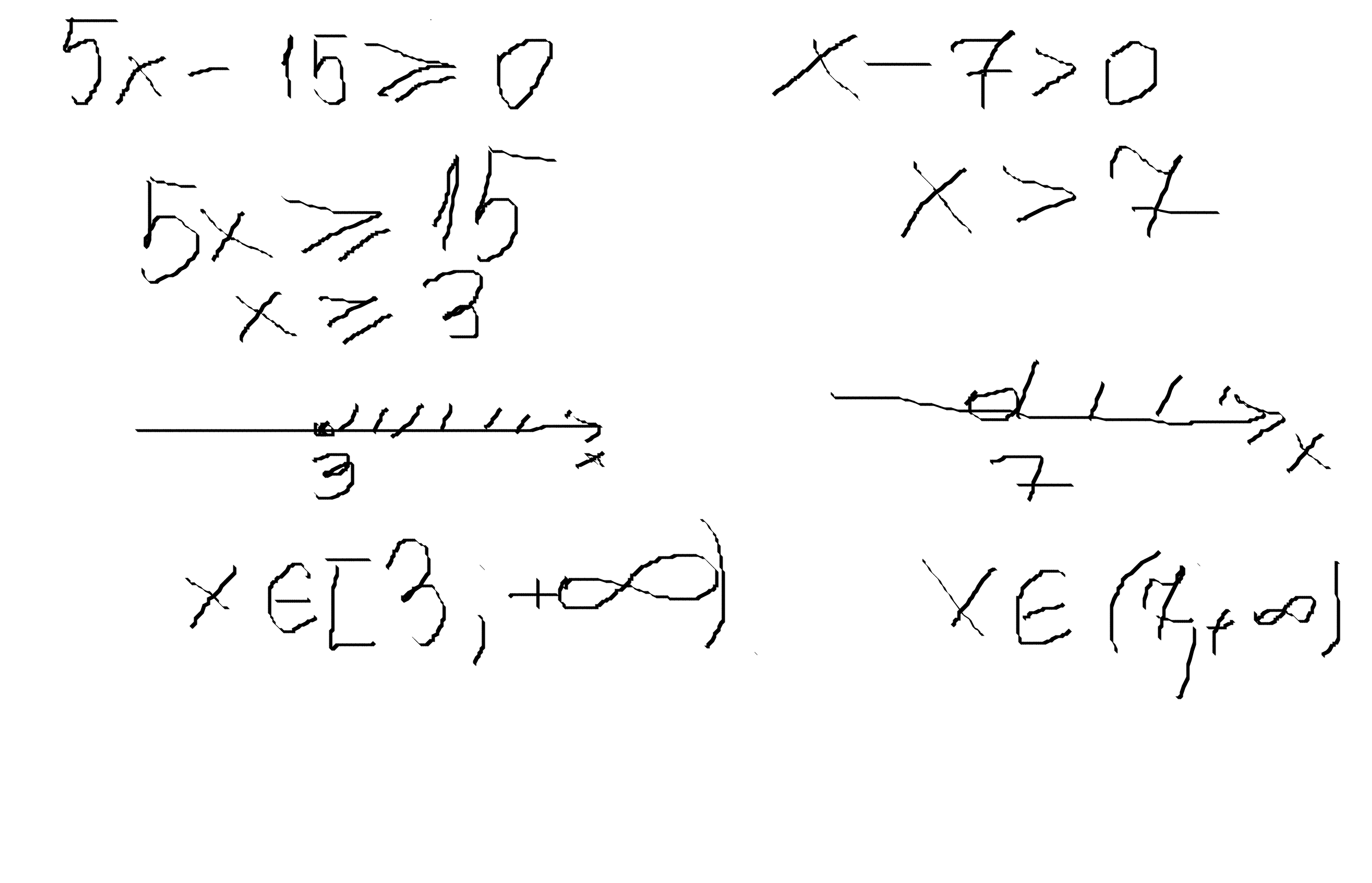
решите систему неравенств{5x-15>=0:x-7>0

Ответы

Ответ дал: mappku
0

{5x-15>=0:     x-7>0 

 {5x-15>=0:    x>7 и x>=3 вместе х>7

Ответ дал: Nast21
0

Смотри вложение 5x-15>=0;

x-7>0 Ответ: 3;7

Приложения:
Вас заинтересует