Ответы
Ответ дал:
0
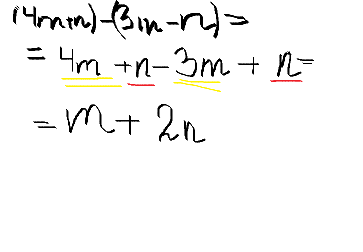
раскрываем скобки: если перед скобками стоит минус значит знаки в скобках меняем на противоположные
4м+н-3м+н=м+2н
и все
Ответ дал:
0
смотри вложение !!!! Ответ: m+2n
Приложения:


Вас заинтересует
2 года назад
8 лет назад
10 лет назад
10 лет назад
10 лет назад