• Предмет: Алгебра
  • Автор: Shana
  • Вопрос задан 11 лет назад

помогите решить уравнение 

 

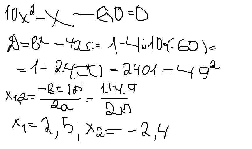
10x^{2}-x-60=0

Ответы

Ответ дал: EmilKo
0

10х²-х-60=0

D=(-1)²-4*10*(-60)=1+2400=2401

x1=1+49/20=2.5

X2=1-49/20=-2.4

Ответ: 2,5; -2,4

p.s.

уравнение типа ax²-bx-c=0

a=10

b=-1

c=-10

D=b²-4ac

x1=-b+√D/2a

x2=-b-√D/2a

Ответ дал: Nast21
0

смотри вложение ответ:::

Приложения:
Вас заинтересует