• Предмет: Алгебра
  • Автор: msHolmes19
  • Вопрос задан 10 лет назад

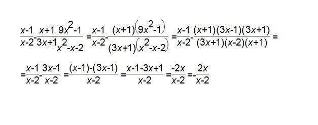
упростите выражение. желательно с решением. спасибо)

Приложения:

Ответы

Ответ дал: triolana
0
================================
Приложения:
Вас заинтересует