• Предмет: Алгебра
  • Автор: lol1322
  • Вопрос задан 10 лет назад

Решаете на листочке, отмечаю как лучший

Приложения:

Ответы

Ответ дал: русская25
0
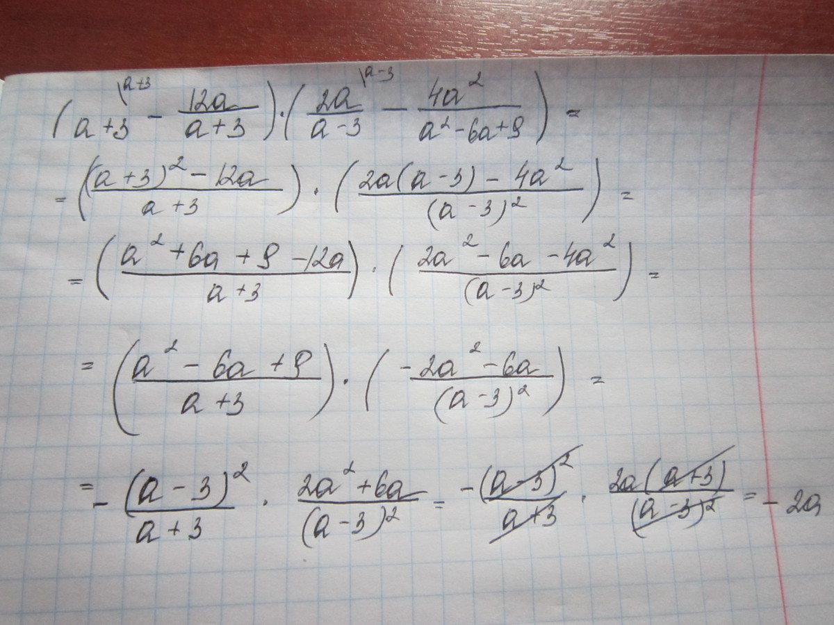
Решение на фото......)
Приложения:
Вас заинтересует