• Предмет: Алгебра
  • Автор: Блонди18
  • Вопрос задан 10 лет назад

Помогите, пожалуйста, очень нужно!!

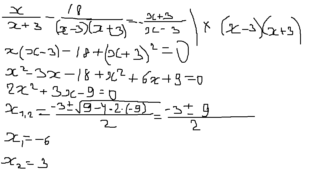
№1.  x/x+3 - 18/x²-9 = x+3/3-x.

Пояснение: / - отделяет числитель от знаменателя.

№2. Между числами 2 и 6 вставьте 9 чисел так, чтобы получилась арифметическая прогрессия.


Ответы

Ответ дал: Ekaterina1819
0
Вот второе у меня не получается
Приложения:
Ответ дал: prostomama1
0
"""""""""""""""""""""""""""""""""""
Приложения:
Вас заинтересует