• Предмет: Алгебра
  • Автор: Ret007
  • Вопрос задан 11 лет назад

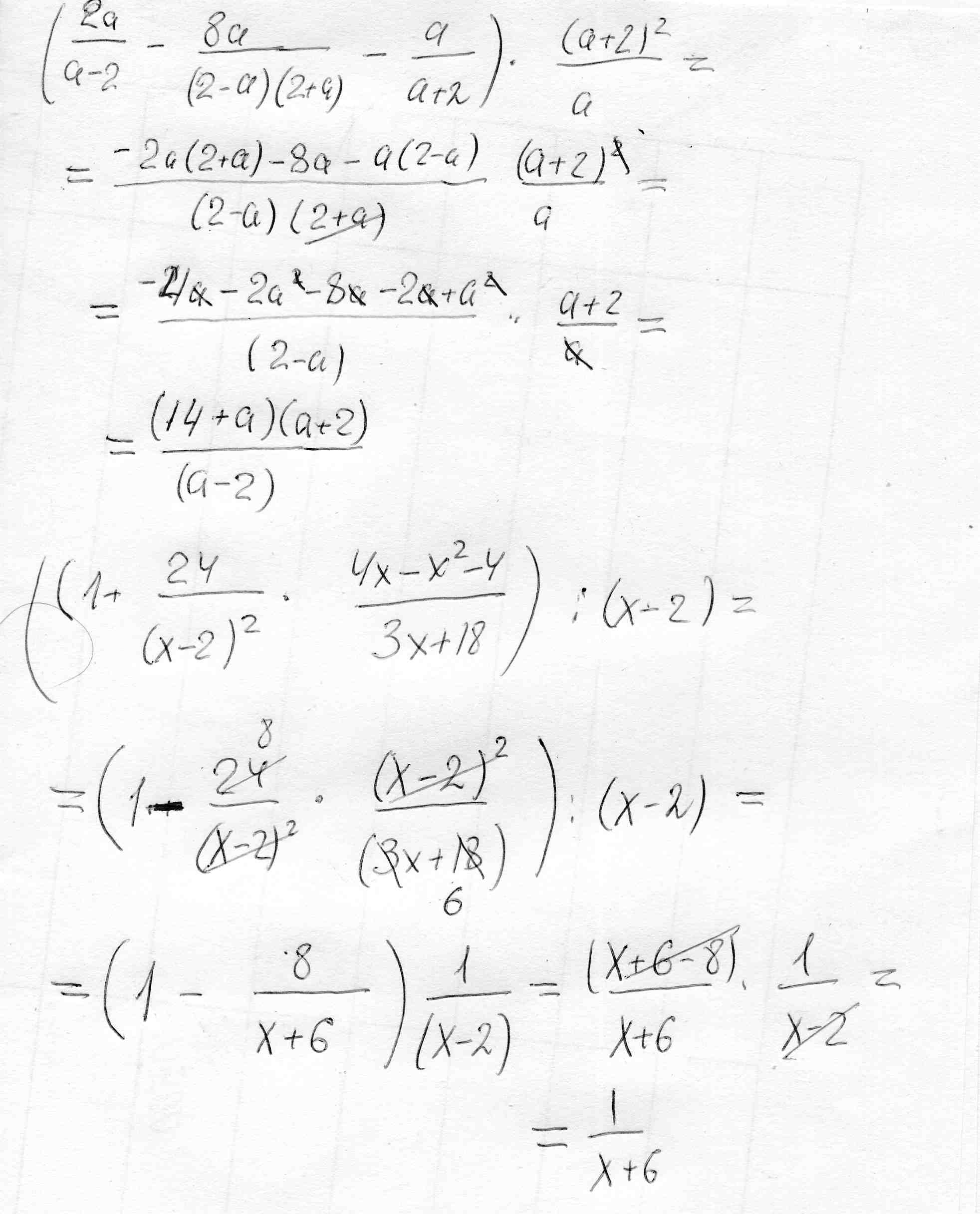
Упростить!!!

Верху 1-ое, в низу 2-ое

даю 21 пункт!

Приложения:

Ответы

Ответ дал: Гоша68
0

                                 1) (14+a)(a+2)/(a-2) 2) 1/(x+6)

Приложения:
Ответ дал: snow962606
0

решение написано во вложении

Приложения:
Вас заинтересует