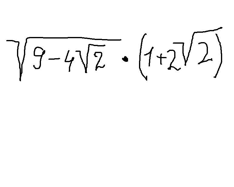
Помогите пожалуйста справиться с вычислением, а то никак не разберусь как такое решать: смотрите во вложениях,(извините, что коряво написано :)
Приложения:

Ответы
Ответ дал:
0
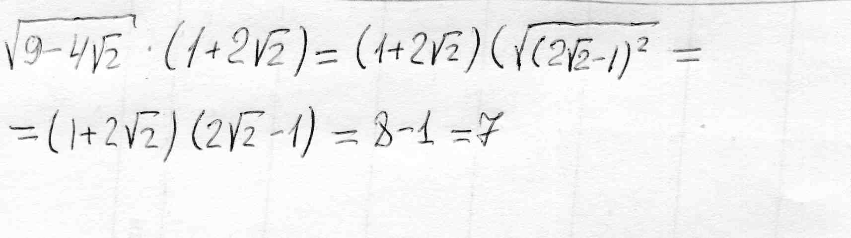
ответ 7, решение в файле
Приложения:

Вас заинтересует
2 года назад
2 года назад
8 лет назад
10 лет назад
10 лет назад