• Предмет: Алгебра
  • Автор: dina6131
  • Вопрос задан 10 лет назад

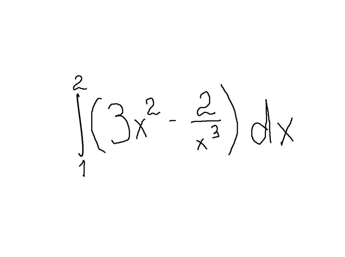
Обчисліть інтеграли^^^

Приложения:

Ответы

Ответ дал: NNNLLL54
0
int _1^2(3x^2-frac{2}{x^3})dx=(3frac{x^3}{3}-2cdot frac{x^{-3+1}}{-3+1})|_1^2=(x^3+frac{1}{x^2})|_1^2=\\=8+frac{1}{4}-(1+1)=6+frac{1}{4}=6,25
Вас заинтересует