Ответы
Ответ дал:
0
N1.
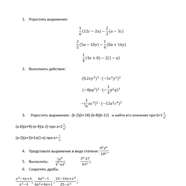
1/6(12c-2a)-2/3(a-3c)=2c-a/3-2a/3-2c=-3a/32/5(5a-10y)-1/4(8a+16y)=2a-4y-2a-4y=-8y1/4(4x+8)-2(1-a)=x+2-2+2a=x+2a
N2.
(0,2x*y^3)^3*(-5x^2*y^2)^2=0,008xy^9*25x^4*y^4=0,02x^5*y^13(-8pq^2)^2*(-1/4p^2*q)^3=64p^2q^4*(-1/64p^6*q^3)=-p^8*q^7-(-1/6ac^3)^2*(-12a^2*c^4)^2=(-a^2*c^6/36)*144a^4*c^8=-4a^6*c^14
N7 (последний пункт)
(3x+1)^2-8(x-1)^2=(x+2)(x-2)
9x^2+6x+1-8x^2+16x-8=x^2-4
x^2+22x-7-x^2+4=0
22x-3=0
22x=3
x=3/22
1/6(12c-2a)-2/3(a-3c)=2c-a/3-2a/3-2c=-3a/32/5(5a-10y)-1/4(8a+16y)=2a-4y-2a-4y=-8y1/4(4x+8)-2(1-a)=x+2-2+2a=x+2a
N2.
(0,2x*y^3)^3*(-5x^2*y^2)^2=0,008xy^9*25x^4*y^4=0,02x^5*y^13(-8pq^2)^2*(-1/4p^2*q)^3=64p^2q^4*(-1/64p^6*q^3)=-p^8*q^7-(-1/6ac^3)^2*(-12a^2*c^4)^2=(-a^2*c^6/36)*144a^4*c^8=-4a^6*c^14
N7 (последний пункт)
(3x+1)^2-8(x-1)^2=(x+2)(x-2)
9x^2+6x+1-8x^2+16x-8=x^2-4
x^2+22x-7-x^2+4=0
22x-3=0
22x=3
x=3/22
Приложения:
Ответ дал:
0
НЕЕЕЕЕЕЕТ *готовится к самоубийству*
Вас заинтересует
3 года назад
8 лет назад
8 лет назад
10 лет назад
11 лет назад
11 лет назад