• Предмет: Алгебра
  • Автор: Аноним
  • Вопрос задан 10 лет назад

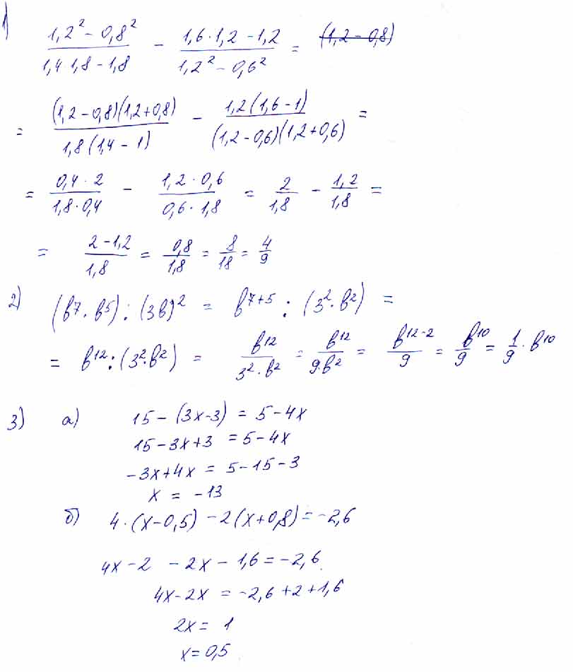
Решите пожалуйста 1,2,3 задания)

Приложения:

Ответы

Ответ дал: kolesnik39
0
если еще нужно ответы на картинке
Приложения:
Ответ дал: kolesnik39
0
давай ссылку на вопрос в комментариях здесь чтобы я увидел
Ответ дал: Аноним
0
http://co953sv.mskobr.ru/images/learning/course/Itog_7_Matem_1.doc
Ответ дал: kolesnik39
0
на это много времени уйдет, у меня столько нет, да и задания мимо баллов на сайте пойдут :(
Вас заинтересует