Охарактеризуйте график данной функции и постройте его (во вложении). Все подробно с графиками!
Приложения:

Ответы
Ответ дал:
0
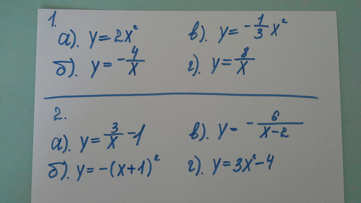
Парабола (
Гипербола (
Парабола, сжатая в 3 раза к оси абсцисс и отображенная симметрично этой оси.
Гипербола, растянутая в 8 раз от оси абсцисс.
Гипербола, растянутая в 3 раза от оси абсцисс и сдвинутая на 1 единицу вниз.
Парабола, отображенная симметрично оси абсцисс и сдвинутая на 1 единицу влево.
Гипербола, растянутая в 6 раз от оси абсцисс, отображенная симметрично этой оси и сдвинутая на 2 единицы вправо.
Парабола, растянутая в 3 раза от оси абсцисс и сдвинутая на 4 единицы вниз.
Приложения:
Вас заинтересует
2 года назад
7 лет назад
7 лет назад
10 лет назад
10 лет назад
10 лет назад