• Предмет: Математика
  • Автор: dden2002
  • Вопрос задан 10 лет назад

найдите корень уравнения 48/4x=о,25/одна двенадуатая

Ответы

Ответ дал: Vovik97
0
48/4x=1/4
192=4x
x=192/4
x=48
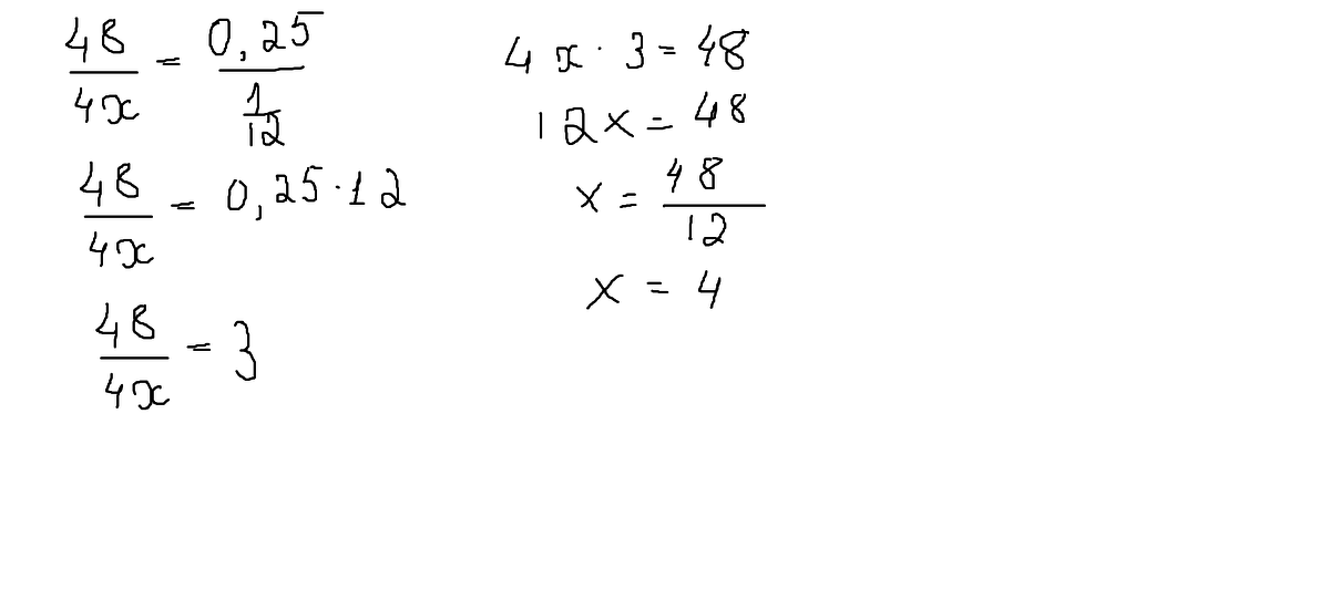
Ответ дал: BriannaV
0
Решение во вложении.
Приложения:
Вас заинтересует