• Предмет: Математика
  • Автор: samiraishanova
  • Вопрос задан 10 лет назад

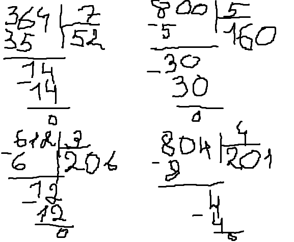
Выполни деление.( столбиком)
364 на 7, 800 на 5, 612 на 3, 804 на 4, 1000 на 5, 486 на 6

Ответы

Ответ дал: BonBourbon
0
Надеюсь понятно. Прошу прощения за кривизну)
Приложения:
Вас заинтересует