• Предмет: Математика
  • Автор: Аноним
  • Вопрос задан 10 лет назад

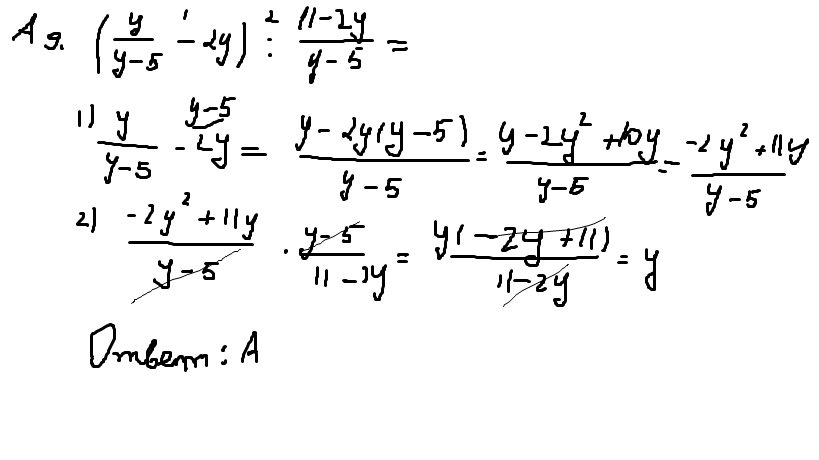
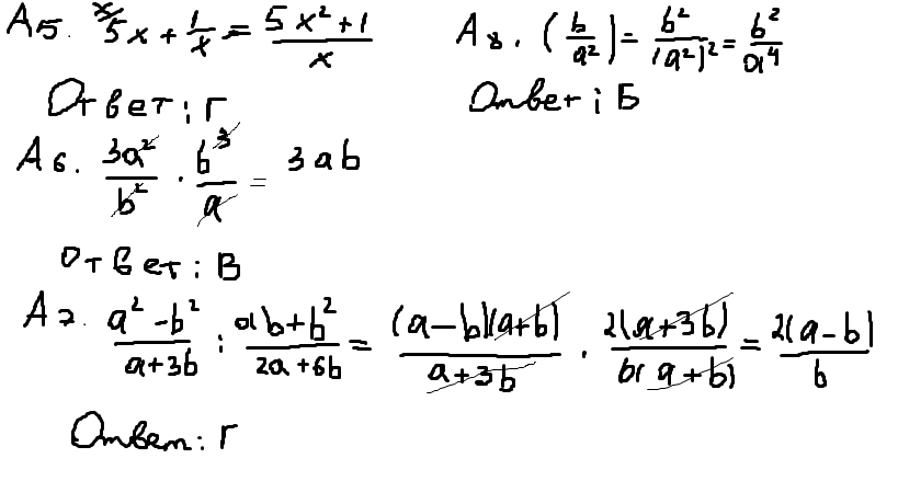
Помагите пожалуйста нужно подробноп решение(

Приложения:

Ответы

Ответ дал: kissylia12
0
Решила все кроме 10, нет моего ответа среди предложенных вариантов, но надеюсь ты не расстроишься) Смотри рисунок)
Приложения:
Вас заинтересует