• Предмет: Алгебра
  • Автор: FranIzumi
  • Вопрос задан 10 лет назад

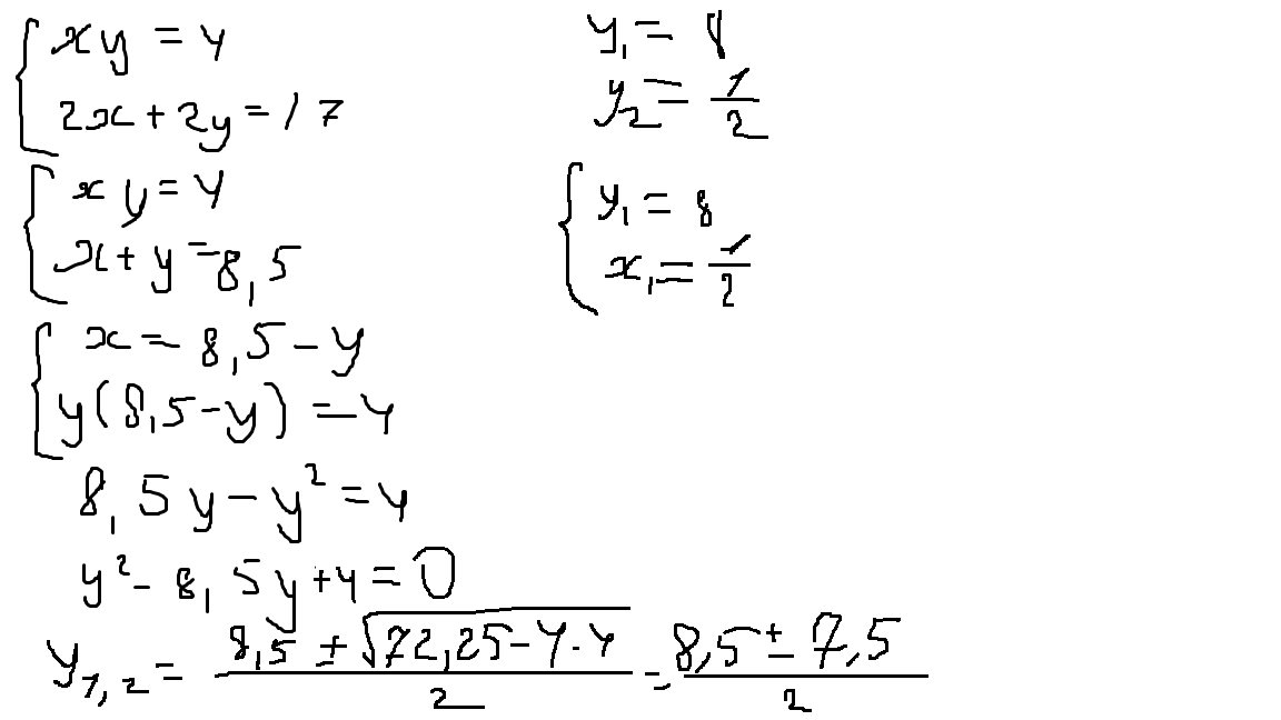
Площадь прямоугольника равна 4 дм^2, а периметр 17 дм. Определите стороны прямоугольника.

Ответы

Ответ дал: Ekaterina1819
0
Пусть одна сторона х, а другая у. Составляем систему. 
Приложения:
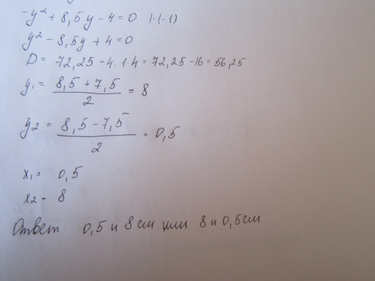
Ответ дал: русская25
0
.................................................
Приложения:
Вас заинтересует