Ответы
Ответ дал:
0
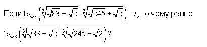
Решение Вашего задания, во вложении.
Приложения:


Вас заинтересует
2 года назад
2 года назад
8 лет назад
8 лет назад
10 лет назад
10 лет назад
10 лет назад