• Предмет: Алгебра
  • Автор: Tanya00khv
  • Вопрос задан 10 лет назад

Поооооооооомооооооогитееее! Пожалуйста. Заранее спасибо

Приложения:

Ответы

Ответ дал: dasha00000000000
0
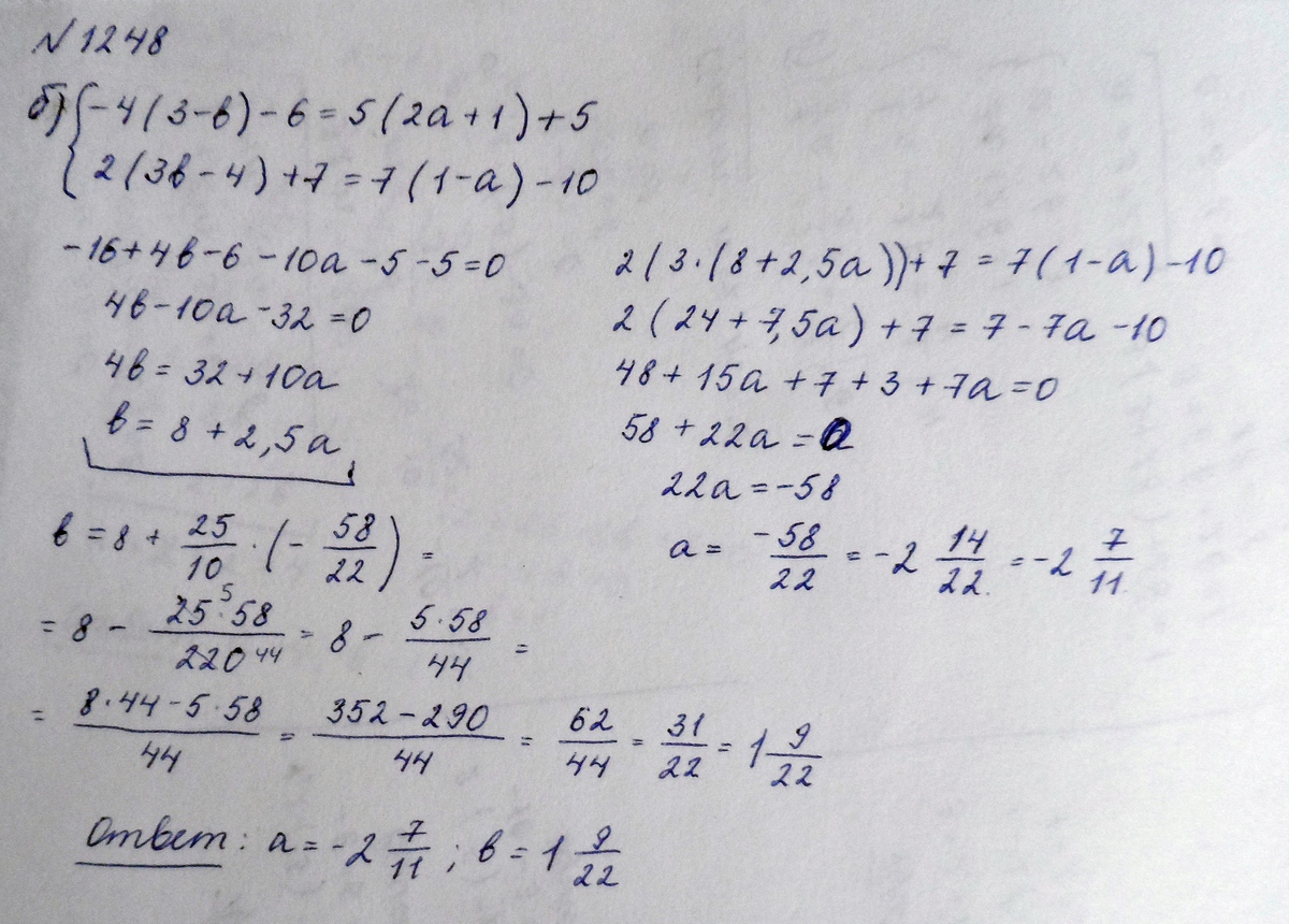
Решение прикреплено файлами!
Приложения:
Вас заинтересует