• Предмет: Физика
  • Автор: wwwd
  • Вопрос задан 11 лет назад

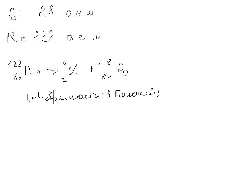
Определите массу  (в а.е.м. с точностью до целых чисел ) и заряд ( вэлементарных зарядах) ядер атомов следующих элементов 

кремния

 30

    Si

 14 

 

Радона  

222

    Rn

 86 

 

 Что происходит с радоном в результате а-распада?

Ответы

Ответ дал: Liza818
0

__________________________________

Приложения:
Вас заинтересует