• Предмет: Алгебра
  • Автор: sviderskay09
  • Вопрос задан 10 лет назад

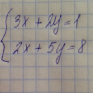
Помогите решить систему 7 кл!!

Приложения:

Ответы

Ответ дал: andreysymrak
0
3x+2y=1 2x+5y=8 2y=1-3x y=1-3x/2 2x+(5-15x/10)=8 20x+5-15x/10=8 5x+5/10=8 5x+5=80 5x=75 x=15 y=1-45/2=-22
Ответ дал: Ladkaa
0
................................
Вас заинтересует