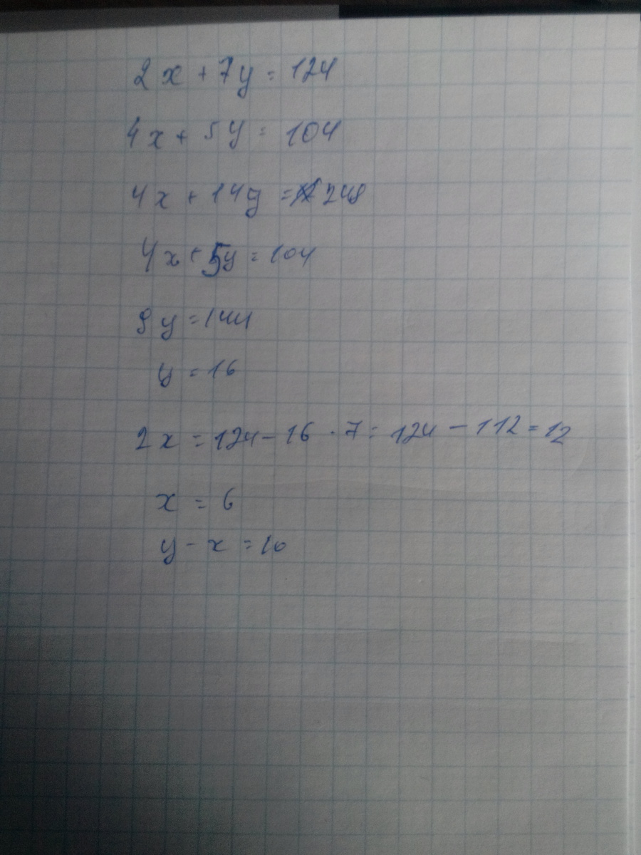
в 2 коробки и 7 ящиков вмещается 124 кг груш а в такие же 4 коробки и 5 ящиков-104 кг груш на сколько вместимость ящика больше вместимости коробки?
Ответы
Ответ дал:
0
вот решила тоько что
Приложения:

Вас заинтересует
2 года назад
2 года назад
8 лет назад
8 лет назад
10 лет назад
10 лет назад