• Предмет: Алгебра
  • Автор: tupak
  • Вопрос задан 11 лет назад

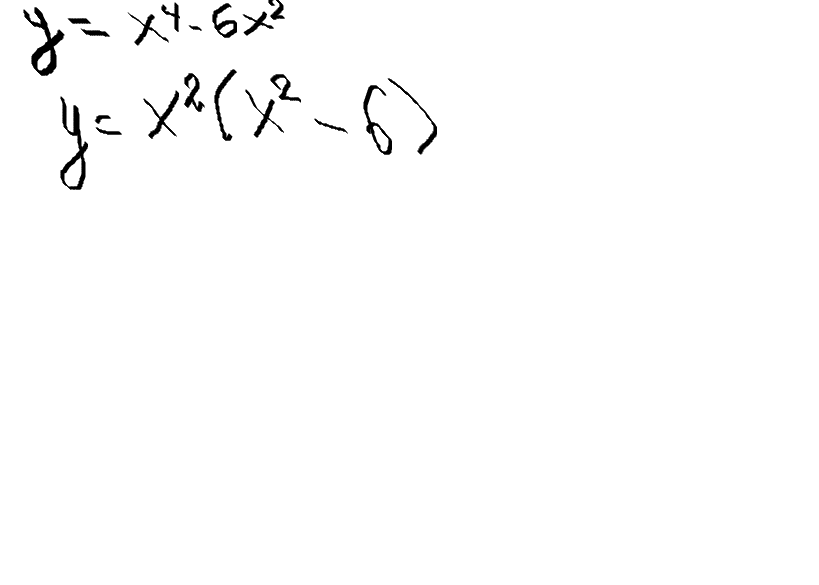
у=х⁴-6х²  ,блин я вообще не знаю, чт с этим делать, а мне зачёт надо здать помогите пожалусто*

Ответы

Ответ дал: Кетрин26
0

у=х в квадрате(х в квадрате-6)

Ответ дал: Nast21
0

смотри вложение у=х⁴-6х²  Что нужно сделать по заданию(построить график или вынести)?


строй график (парабола, ветви направлены вверх)

Приложения:
Вас заинтересует