Ответы
Ответ дал:
0
Первая задача на рисунке
Приложения:

Ответ дал:
0
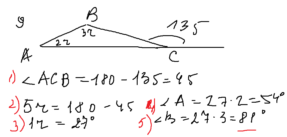
9.Внешний угол равен сумме двух других углов треугольника не смежных с ним.
Составим уравнение:
2x+3x=135
5x=135
x=135/5
x=27
27*3=81 градус
Ответ:81 градус
10. Средняя линия равна полусумме оснований
Составим уравнение:
(x+x+16)/2=18 умножим уравнение на 2
x+x+16=36
2x=20
x=10
Ответ:10
Составим уравнение:
2x+3x=135
5x=135
x=135/5
x=27
27*3=81 градус
Ответ:81 градус
10. Средняя линия равна полусумме оснований
Составим уравнение:
(x+x+16)/2=18 умножим уравнение на 2
x+x+16=36
2x=20
x=10
Ответ:10
Приложения:

Вас заинтересует
2 года назад
7 лет назад
10 лет назад
10 лет назад
10 лет назад