Ответы
Ответ дал:
0
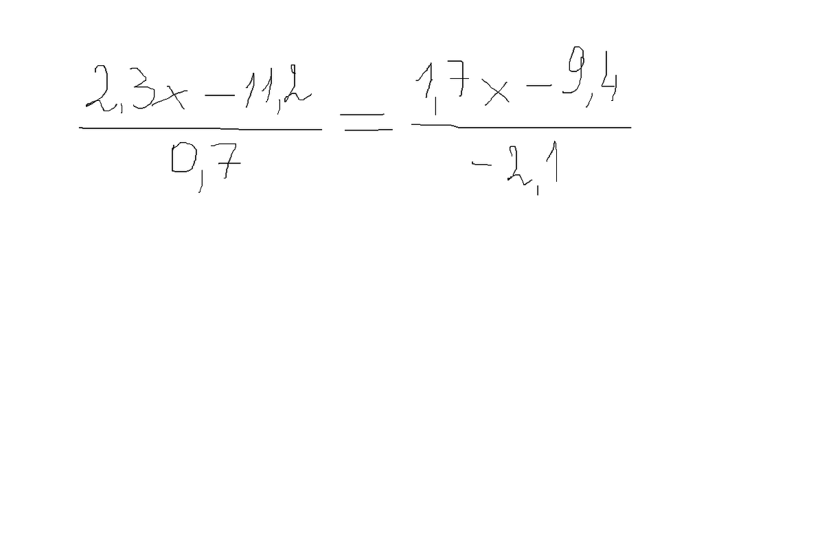
2,3x-11,2/0,7=1,7x-9,4/-2,1
Умножаем уравнение крест накрест
в результате :
0,7(1,7x-9,4)=-2,1(2,3x-11,2)
1,19x-6,58=-4.83x+23,52
1,19x+4,83x=23,52+6,58
6,02x=30.1
x=5
Умножаем уравнение крест накрест
в результате :
0,7(1,7x-9,4)=-2,1(2,3x-11,2)
1,19x-6,58=-4.83x+23,52
1,19x+4,83x=23,52+6,58
6,02x=30.1
x=5
Вас заинтересует
3 года назад
8 лет назад
11 лет назад
11 лет назад