• Предмет: Алгебра
  • Автор: tatjana2312
  • Вопрос задан 10 лет назад

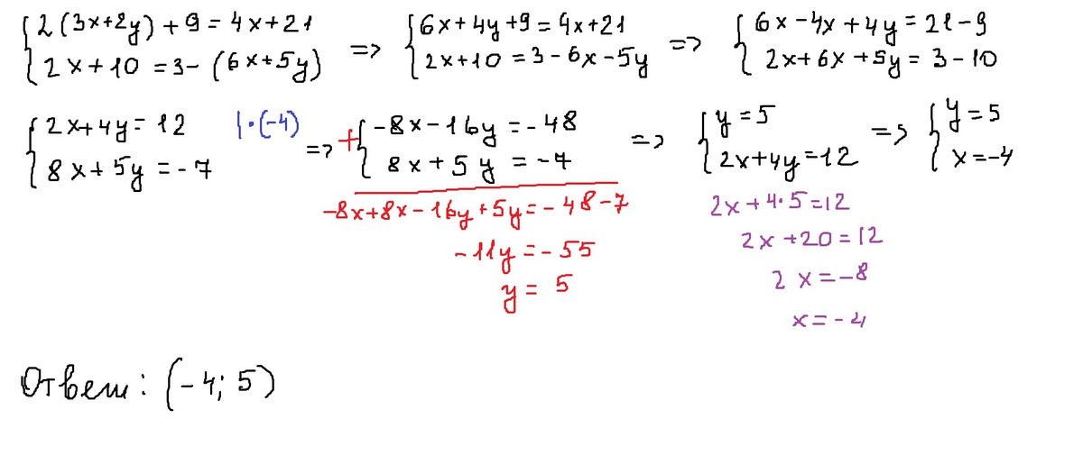
Решите систему уравнений :

2(3x+2y)+9=4x+21
2x+10=3-(6x+5y) 

Ответы

Ответ дал: esmilya
0
Если понравилось решение - нажимай "спасибо" и "лучший" (рядом с кнопкой "спасибо") :)
Приложения:
Вас заинтересует