• Предмет: Алгебра
  • Автор: staroverov14
  • Вопрос задан 10 лет назад

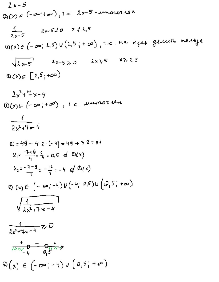
Найдите область определения каждого из выражений:
а)
2x-5,  frac{1}{2x-5} и sqrt{2x-5}
б)2 x^{2} +7x-4,  frac{1}{2 x^{2} +7x-4} иsqrt{ frac{1}{2 x^{2} +7x-4} }

Ответы

Ответ дал: asiya17
0
а)
2х-5
область определения все действительные числа
второе 2х-5≠0
х≠2,5
область определения все числа кроме 2,5
2х-5≥0
х≥2,5
область определения от 2,5 до плюс бесконечности
Ответ дал: asiya17
0
пожалуйста)
Ответ дал: esmilya
0
Если понравилось решение - нажимай "спасибо" и "лучший" (рядом с кнопкой "спасибо") :)
Приложения:
Ответ дал: staroverov14
0
Огромное Вам Спасибо!!!
Вас заинтересует