• Предмет: Алгебра
  • Автор: OlgaShv
  • Вопрос задан 10 лет назад

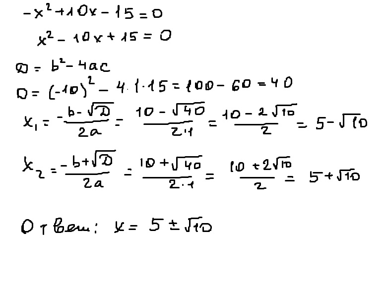
Решите уравнение -х^2+10x-15=0

Ответы

Ответ дал: esmilya
0
Если понравилось решение - нажимай "спасибо" и "лучший" (рядом с кнопкой "спасибо") :)
Приложения:
Ответ дал: esmilya
0
Где неправильно???????????
Вас заинтересует