• Предмет: Математика
  • Автор: mandarinka4malinka
  • Вопрос задан 10 лет назад

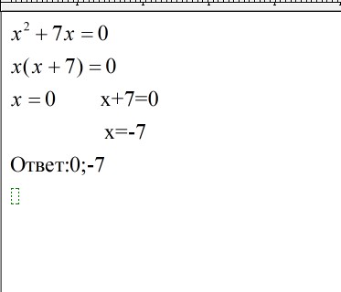
икс в квадрате +7х=0 Помогите срочняк как нужно!!!!

Ответы

Ответ дал: triolana
0
==================================
Приложения:
Вас заинтересует