• Предмет: Математика
  • Автор: Аноним
  • Вопрос задан 10 лет назад

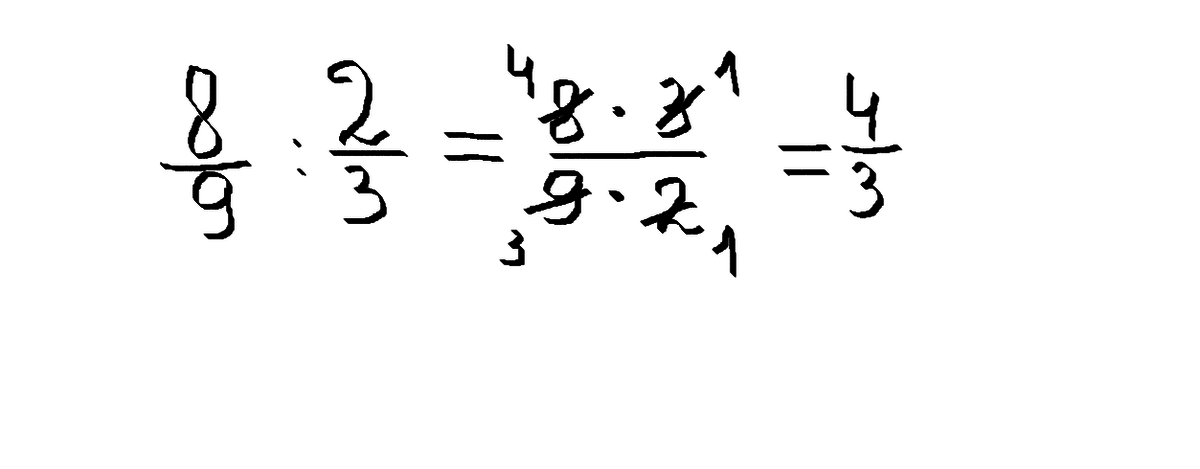
умножение и деление дробей   8/9:2/3

Ответы

Ответ дал: Алина1999март
0
8/9:2/3=8/9*3/2=4/2=2
Ответ дал: Vitalina27
0
вот решение.....))))))
Приложения:
Вас заинтересует