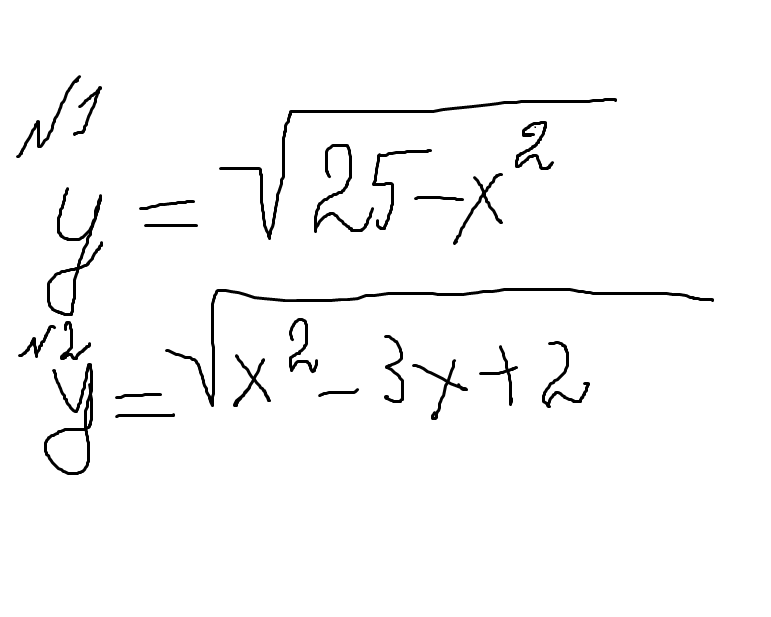
Ребят помогите пожалуйста! Нужно найти область определения функции:, скажите как это делается? (пример см. во вложении) там два примера
Приложения:

Ответы
Ответ дал:
0
в первом примере х должен быть меньше либо равен 25,т.к. из-под корня должно получиться положительное число
во втором х - больше,либо равен нулю
Вас заинтересует
2 года назад
2 года назад
8 лет назад
10 лет назад
10 лет назад
10 лет назад