Ответы
Ответ дал:
0
а- это гипотенуза :)))
Приложения:
Ответ дал:
0
Квадрат гипотенузы равен сумме квадратов катетов, по Теореме Пифагора
а^2=b^2+c^2
a^2=6^2+8^2
a^2=100
a=10, (длина стороны отрицательной быть не может)
Ответ: 10
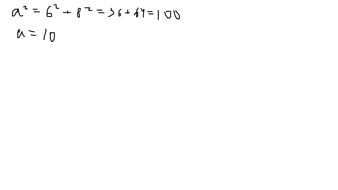
а^2=b^2+c^2
a^2=6^2+8^2
a^2=100
a=10, (длина стороны отрицательной быть не может)
Ответ: 10
Приложения:
Ответ дал:
0
а=6 см
b=8 см
с - ? см
S - ? см²
Решение:
по теореме Пифагора: a^{2}+b^{2}=c^{2}
где а, b - катеты, с - гипотенуза
c=sqrt{a^{2}+b^{2}}=sqrt{6^{2}+8^{2}}=sqrt{36+64}=sqrt{100}=10 (cм) - гипотенуза Δ
S=frac{1}{2}ab=frac{1}{2}cdot6cdot8=24 (см²)
Ответ: 10 см гипотенуза Δ; 24 см² площадь Δ
b=8 см
с - ? см
S - ? см²
Решение:
по теореме Пифагора: a^{2}+b^{2}=c^{2}
где а, b - катеты, с - гипотенуза
c=sqrt{a^{2}+b^{2}}=sqrt{6^{2}+8^{2}}=sqrt{36+64}=sqrt{100}=10 (cм) - гипотенуза Δ
S=frac{1}{2}ab=frac{1}{2}cdot6cdot8=24 (см²)
Ответ: 10 см гипотенуза Δ; 24 см² площадь Δ
Вас заинтересует
3 года назад
8 лет назад
11 лет назад
11 лет назад