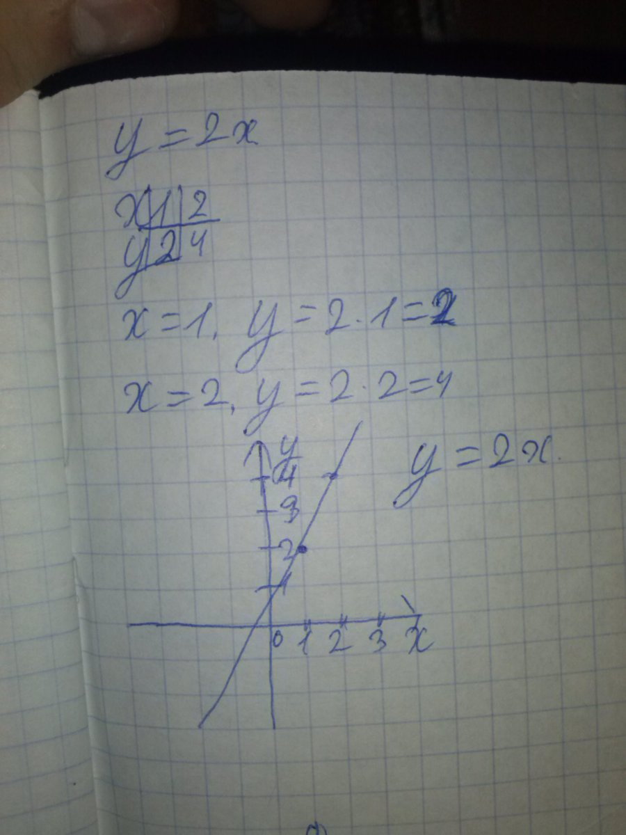
Отметьте в координатной плоскости две какие-нибудь точки. Проведите через них прямую. Напишите уравнение этой прямой.
Помогите, пожалуйста!
Ответы
Ответ дал:
0
надо двадцать символов!
Приложения:

Вас заинтересует
10 лет назад
10 лет назад
10 лет назад