• Предмет: Алгебра
  • Автор: Stasygirl
  • Вопрос задан 11 лет назад

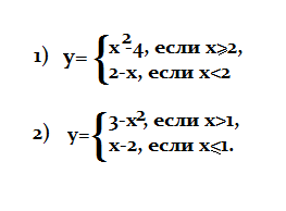
построить график функции.

функции во вложении. 

 

Приложения:

Ответы

Ответ дал: Аноним
0

Как построить первую функцию предположим(они строятся абсолютно одинаково).

Сначала проведи прямую x= 2. С правой стороны от неё(поскольку x≥2) построй функцию y = x²-4, а слева построй функцию y = 2-x. При этом оба графика соединятся в один. Этот график и будет графиком данной функции

Первая функция представляет собой параболу y = x², перенесённую с помощью параллельного переноса на вектор {0;-4} или вершина параболы находится в координате (0;-4), а вторая функция представляет собой обычную линейную функцию.

 Главное, не забудь глядеть на условие, где данные графики функций должны быть, проведи прямую, как бы разделяющую по условию оба графика, построй указанные функции на заданном интервале, полученный график и будет графиком данной кусочно-элементарной функции

Вас заинтересует