• Предмет: Алгебра
  • Автор: Аноним
  • Вопрос задан 10 лет назад

молю алгебра помогите !!!!!

Приложения:

Ответы

Ответ дал: Artem112
0
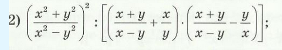
( frac{x^2+y^2}{x^2-y^2} )^2:(( frac{x+y}{x-y} + frac{x}{y} )cdot( frac{x+y}{x-y} - frac{y}{x}))=
\
=( frac{x^2+y^2}{x^2-y^2} )^2:( frac{(x+y)y+x(x-y)}{y(x-y)} cdot frac{(x+y)x-y(x-y)}{x(x-y)} )=
\
=( frac{x^2+y^2}{x^2-y^2} )^2:( frac{xy+y^2+x^2-xy}{y(x-y)} cdot frac{x^2+xy-xy+y^2}{x(x-y)} )=
\
= frac{(x^2+y^2)^2}{(x^2-y^2)^2} : frac{(y^2+x^2)^2}{xy(x-y)^2}=
frac{(x^2+y^2)^2xy(x-y)^2}{(x^2-y^2)^2(y^2+x^2)^2} =
frac{xy(x-y)^2}{(x-y)^2(x+y)^2} =frac{xy}{(x+y)^2}
Вас заинтересует