• Предмет: Математика
  • Автор: Monika051
  • Вопрос задан 10 лет назад

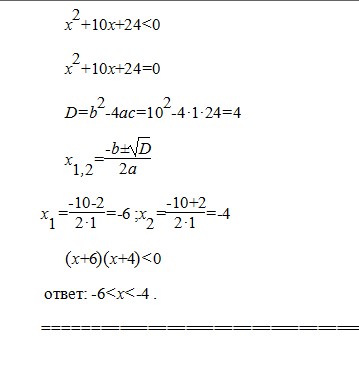
х в квадрате +10х +24 меньше 0

Ответы

Ответ дал: triolana
0
============================
Приложения:
Вас заинтересует