• Предмет: Алгебра
  • Автор: Аноним
  • Вопрос задан 11 лет назад

Решите систему уравнений 

Вложение

Приложения:

Ответы

Ответ дал: anna2782
0

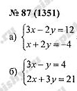
Система:3х-2у=12

              х+2у=-4

Складываем почленно два уранения, получем 4х=8

                                                                         х=2

Подставляем значение х в любое из уравнений первой системы, получаем: 2у=-6

                                                                                                                    у=-3

Ответ: х=2, у=-3

 

Система 3х-у=4

              2х+3у=21

Умножаем первое уравнение на 3, получим систему: 9х-3у=12

                                                                                 2х+3у=21

Складываем два уравнения, получаем: 11х=33

                                                             х=3

Находим у: 9-у=4

                  у=5

Ответ: х=3, у=5

Вас заинтересует