• Предмет: Математика
  • Автор: jopka313
  • Вопрос задан 11 лет назад

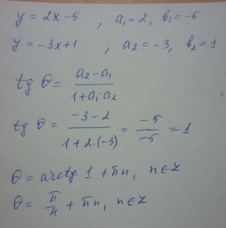
НАЙТИ УГОЛ МЕЖДУ ПРЯМЫМИ Y=2Х-5 И Y=-3Х+1

Ответы

Ответ дал: РЕСО
0
Решение во вложенном файле
Приложения:
Вас заинтересует