• Предмет: Геометрия
  • Автор: fret11
  • Вопрос задан 10 лет назад

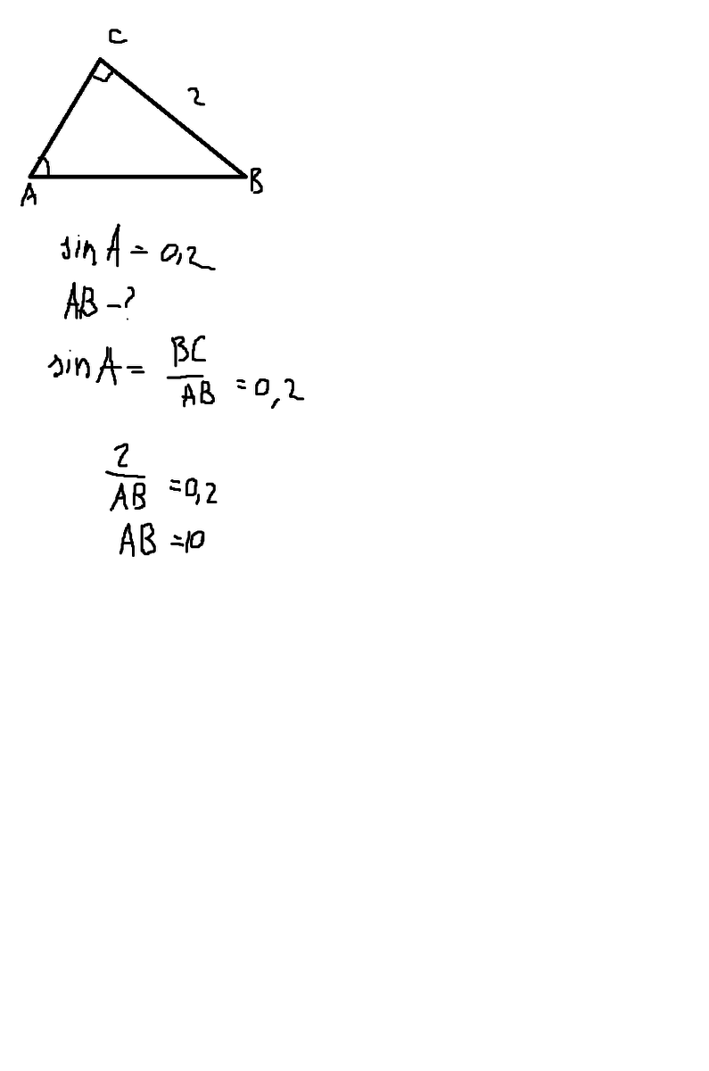
В треугольнике ABC угол C равен 90∘ , BC=2 , sinA=0,2 . Найдите AB .

Ответы

Ответ дал: animotsy
0
Синус острого угла в прямоугольном треугольнике — это отношение противолежащего катета к гипотенузе.
Приложения:
Ответ дал: bellockag
0
синус угла А = ВС/АВ, тк синус угла А =0,2 то 2/АВ=0,2 АВ = 2/0,2=20/2=10

Приложения:
Вас заинтересует