• Предмет: Алгебра
  • Автор: valkad
  • Вопрос задан 11 лет назад

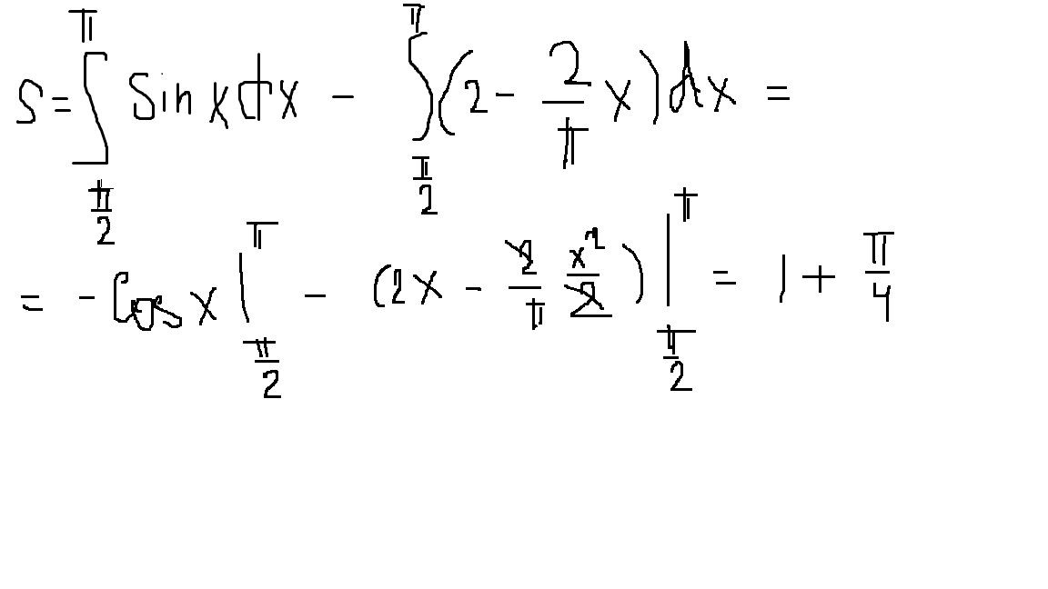
Найти площадь фигуры , ограниченной графиком функции y=sinx , определенной на отрезке (0;пи) и прямой ,проходящей через точки m (пи/2;1) и n(пи;0).

Ответы

Ответ дал: Аноним
0

решаем определенный интеграл

Приложения:
Вас заинтересует