• Предмет: Математика
  • Автор: 20dfc20
  • Вопрос задан 10 лет назад

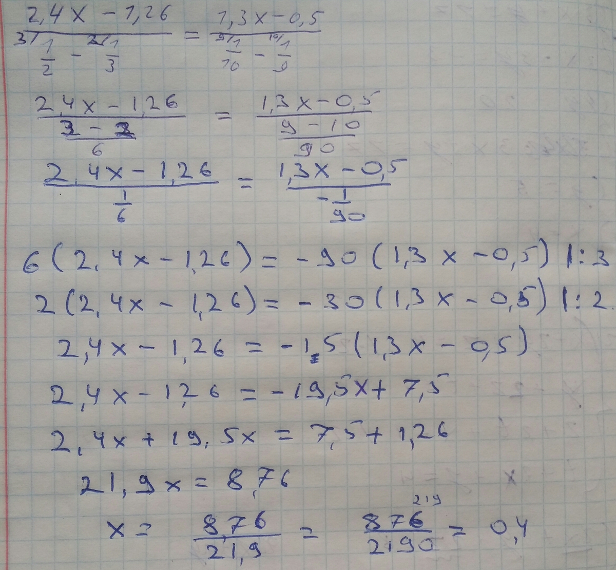
помогите пожалуйста с пропорцией. ЗАРАНЕЕ СПАСИБО БОЛЬШОЕ)

Приложения:

Ответы

Ответ дал: Аноним
0
лови полное и подробное)))))))
Приложения:
Вас заинтересует